반응형
요즘은 승이라고 하지 않고 제곱이라고 쓴다고 한다. 위의 제목도 2분의 1이 2의 -1제곱일까?로 바꾸어야 하겠지만, 승이 훨씬 더 헷갈리지 않고 받아들일 수 있는 말 같다는 생각이 든다.
지수의 법칙 중에서 다음은 잘 알 것이다.

이건 a가 m개 있고, 거기에 또 a가 n개 있으니 a가 m+n개 있다는 사실이다.
밑에 건 a가 m개 있는 것(세트)이 n개 있다는 것이라서 a가 mxn만큼 있다는 것이다.
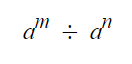
그런 나누기는 어떻게 풀어 쓸 수 있을까?

이건 a가 m개 만큼 있는 데서 a가 n개만큼 나눈다는 것이다.
즉, axaxaxaxa 나누기 axaxa를 하면 a가 2개 남게 된다.
그래서 a가 m-n만큼 남게 된다.
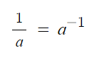
그렇다면 a분의 1이 왜 a의 -1승이 되는지 감이 오지 않는가?

이건 1에 그 비밀이 있다.
1은 모든 수의 0승이다.
따라서 이 식은 a의 0승 나누기 a의 1승을 하는 거니까 a가 0-1만큼 남게 되는 것이다.
지수에서 마이너스가 보이면 아, 이건 분수겠구나!라고 생각해 버리면 쉽다.
이렇게 생각해 놓으면 절대 헷갈릴 일이 없다.
'중등 관련 지식' 카테고리의 다른 글
| 데카르트 좌표평면과 해석기하학 - 함수와의 관계 (0) | 2023.04.23 |
|---|---|
| 스콧 펙 박사의 '아직도 가야 할 길' (0) | 2023.04.23 |
| 엠베스트 해야 할까? 중등 내신에 도움이 될까? (2) | 2023.04.21 |
| 괴롭힘 왕따 어떻게 대처할 수 있을까? (0) | 2023.04.20 |
| 중학생 잠 깨는 약! 커피 대신 OOO! (0) | 2023.04.19 |
댓글